Search
News For Sale
  • Property

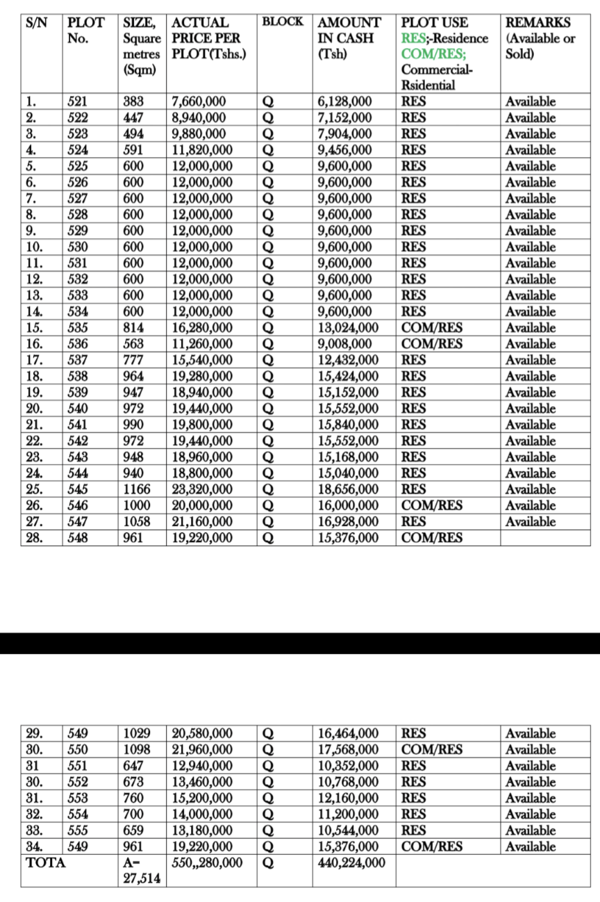
BAGAMOYO PRIME PLOTS

Kimarangómbe is the one of emerging street with modern houses and great neighbourhood in Bagamoyo town.


Key Features/Property Features

Size: 41000 Square metres (10 Acres of land)

Region: Pwani

District: Bagamoyo

Location: Kimarang'ombe street at Nia Njema Ward in Bagamoyo town

Price: TZS 100,000,000/=

Land Status: Located at Prime Area and great neighbourhood

Access: The property is Accessible through the roads


Property Gallery


Video Overview for Property

No valid video link found.


Make Request for this Property